
製品説明
| デカノイル/オクタノイルグリセリド 基本情報 |
| 説明ソース |
| 商品名: | デカノイル/オクタノイルグリセリド |
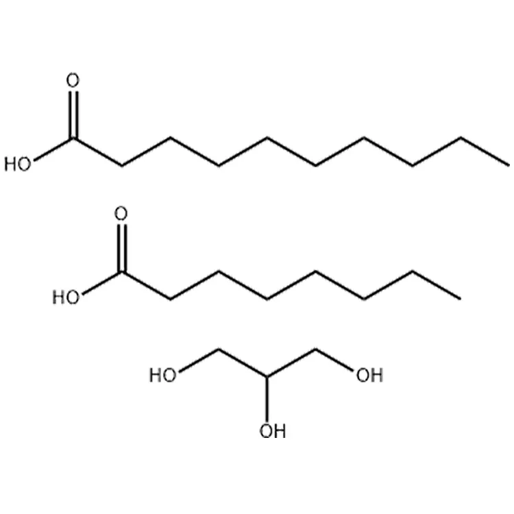
| 同義語: | カプリル酸/カプリン酸トリグリセリド、ComMiphora Mukul 樹脂抽出物;2-ヒドロキシ-3-(オクタノイルオキシ)プロピルデカノエート;1-ヒドロキシ-3-(オクタノイルオキシ)プロパン-2-イルデカノエート;トリグリセリド、水添レチノール;中鎖脂肪酸トリグリセリド (MCT);1,2,3-プロパントリオールオクタノエートとのデカン酸エステル;デカノイル/オクタノイルグリセリド;オクタン酸/デカン酸トリグリセリド |
| CAS: | 65381-09-1 |
| MF: | C21H44O7 |
| MW: | 408.58 |
| EINECS: | 265-724-3 |
| 製品カテゴリ: | 食品添加物/化粧品;65381-09-1 |
| Mol ファイル: | 65381-09-1.モル |
![]() |
|
| デカノイル/オクタノイルグリセリドの化学的性質 |
| 密度 | 0.94-0.96 |
| ログP | 3.965(推定) |
| EPA 物質登録システム | グリセロールオクタン酸デカノエート(65381-09-1) |
| 安全情報 |
| MSDS情報 |
| デカノイル/オクタノイルグリセリドの使用法と合成 |
| 説明 | デカノイル/オクタノイルグリセリドは、エモリエント、マスキング剤、香料、スキンコンディショニング剤、溶剤として有用な化粧品です。完全に飽和したエモリエントトリエステルとして、さまざまなパーソナルケアや医薬品用途で鉱油や植物油の代替品として推奨されています。完全に飽和したトリグリセリドとして、潤滑性に優れた軽いエモリエントです。また、化学日焼け止めの溶剤や物理日焼け止めの湿潤剤としても優れています。1-4. |
| 出典 |
http://www.thegoodscentscompany.com/data/rw1306031.html https://books.google.com/books?id{{0}}pKrBNbkE2c0C&pg=PA340&lpg=PA340&dq=65381-09-1&source=bl&ots=4FjOJzUjeH&sig=xXGZ85qWsuCTz2KUn-W_-3fe5vE&hl=zh-CN&sa=X&ved=2ahUKEwiPtseh_-HcAhXWFogKHYa_D4E4FBDoATAAegQIABAB http://www.perflavory.com/docs/doc1306031.html https://www.ingredientstodiefor.com/files/CCT%20MSDS.pdf |
| 用途 | デカノイル/オクタノイルグリセリドは、日焼け止めオイル、クリーム、ローション、アフターサンプロテクションクリーム、ローション、ヘアリペアオイル、クリーム、ヘッドオイル、バスオイル、スキンケアオイル、栄養液などに広く使用されています。肌に潤いと輝きを与え、栄養が肌に吸収されやすくするため、均一で繊細な化粧品に非常に優れた効果を発揮します。 |
| デカノイル/オクタノイルグリセリド製剤および原材料 |
| 原材料 | Octanoic acid-->デカン酸 |
人気ラベル: デカノイル/オクタノイルグリセリド、中国のデカノイル/オクタノイルグリセリドメーカー、サプライヤー、工場
あなたはおそらくそれも好きでしょう
お問い合わせを送る








